基于科技部国家重点研发计划课题(2019YFC1407903)的最新研究成果,我中心科研人员编写的专著《秦皇岛近海水母暴发规律及防控措施》,已由燕山大学出版社正式出版。
在气候变化和人类活动的双重影响下,近海水母数量不断增多,对海洋渔业生产和海洋生态系统健康造成极大危害,已经成为全球性的海洋生态灾害。由于缺乏对水母暴发问题的系统性研究,我国近海,包括秦皇岛海域,水母暴发规律和致灾机理都不清楚,无法科学构建水母暴发防控策略。本书基于最新研究成果,对秦皇岛近海水母暴发的时空分布规律、生长繁殖发育过程、迁移扩散及聚集模式、种群演变等问题进行了系统阐述,具有较高的科学意义和应用价值。其中,对秦皇岛海域白色霞水母的暴发规律和种群来源的研究结果,具有很强的创新性和借鉴价值。
全书共分6章,第1章概述了秦皇岛近海水母生态灾害的研究意义、现状与目标,第2章系统阐述了秦皇岛近海环境与现场调查情况,第3章阐明了秦皇岛近海大型水母分布特征,第4章揭示了秦皇岛近海大型水母的暴发规律及关键调控因子,第5章基于ROMS构建了适用于秦皇岛近海水母预警模型,第6章提出了针对性的防控措施与策略。
(专著信息:秦皇岛近海水母暴发规律及防控措施,刘志亮、陈晓、薛力园著, 燕山大学出版社, 2025,ISBN:978-7-5761-0839-2)

图1 《秦皇岛近海水母暴发规律及防控措施》专著封面

图2 秦皇岛近海的大型水母

注: (a)为我国海洋灾害经济损失年际变化趋势图; (b)为秦皇岛近海沙海蜇暴发程度年际变化趋势
图3 秦皇岛近海沙海蜇致灾程度的年际变化

图4 我国海洋灾害直接经济损失与秦皇岛近岸海洋水母暴发程度的年际变化特征图
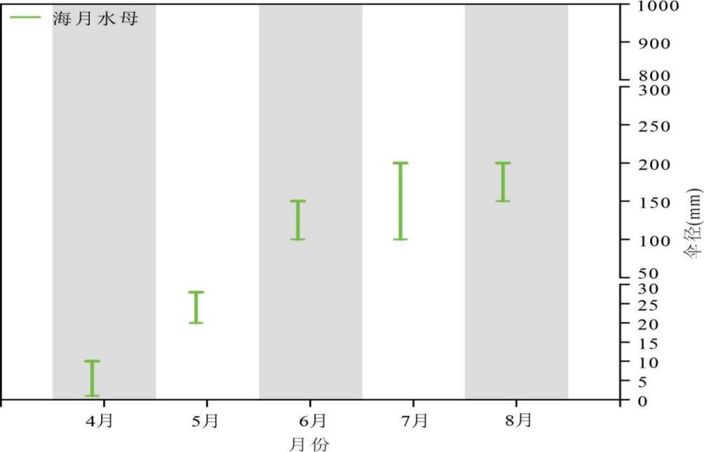
图5 秦皇岛近海海月水母生长特征

注: (a)的数据来自历史资料总结,(b)、(c)的数据分别来自2020、2021年现场观测数据
图6 海月水母和霞水母的月际变化特征

图7 秦皇岛近海人工岛建筑、碟状幼体和暴发主要区域的位置分布图

注: (a)为人工岛建成之前水母暴发的分布特征; (b)为人工岛建成以后水母暴发的分布特征
图8 秦皇岛近海海月水母暴发的主要区域